林層(上総層群相当層) 宮田層 下末吉層相当層~黒ボク
林層(上総層群相当層)
2023年1月14日
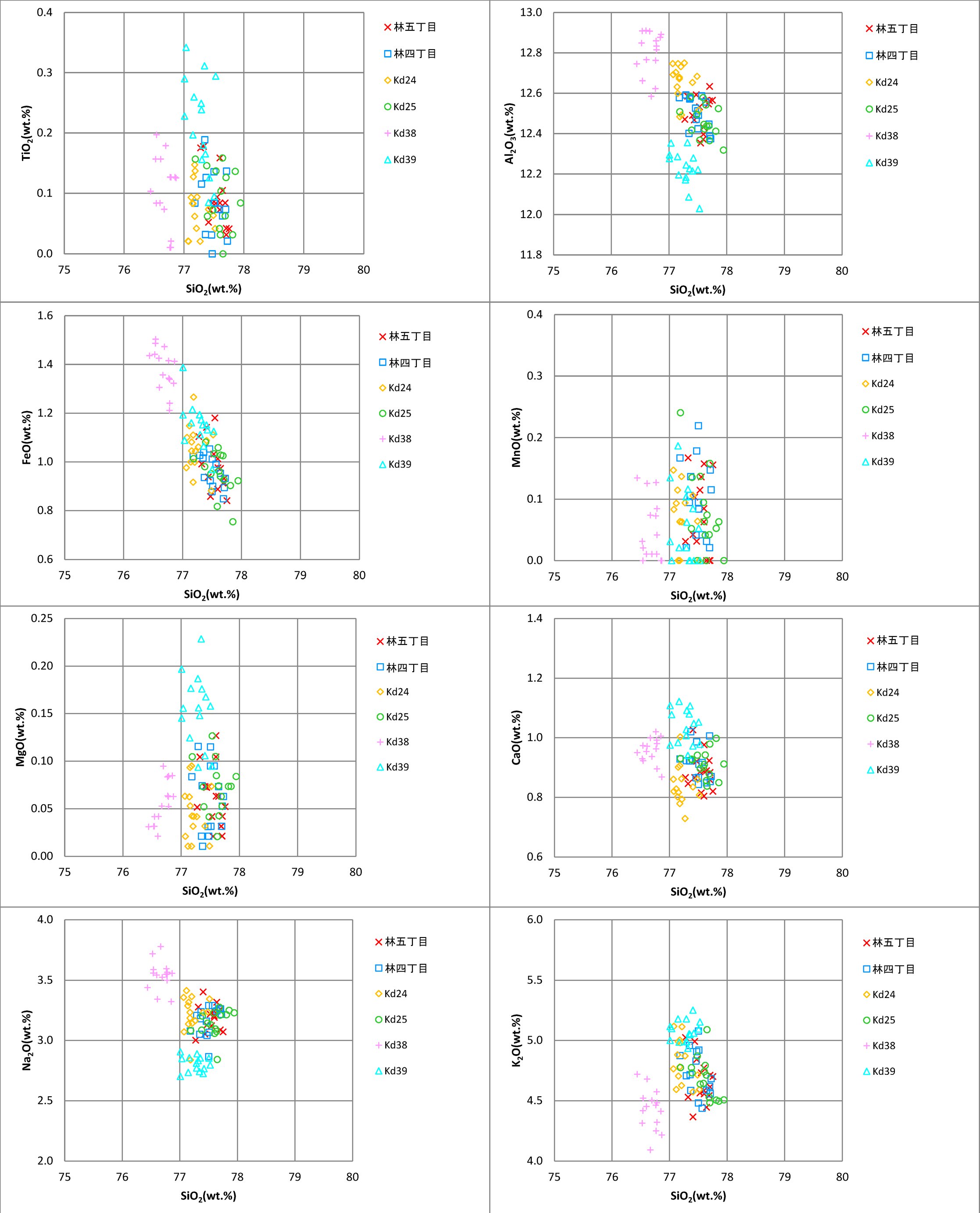
今回テフラ分析した横浜市栄区瀬上沢支谷東側斜面のKd24上部およびKd25上位の白色軽石混砂岩と2022年3月にテフラ分析した支谷西側斜面のKd24相当層準およびKd25相当層準を比較した結果、良く一致しており、Kd24・Kd25相当の火山ガラス以外は基質の砂岩に含まれるローカルテフラ由来と推定されます。



東側斜面のKd25上位の白色軽石混砂岩に含まれる屈折率1.505前後の火山ガラスが白色軽石構成物と考えられます。横須賀市林五丁目のKd25と推定されるテフラ下位約4mに挟在する沈下堆積漂流軽石の外観を示す白色軽石とほぼ一致しており、同一の供給源からの噴出物かもしれません。

西側斜面のKd25相当層準の屈折率1.51前後のピークの火山ガラスは東側斜面Kd24上部、西側斜面Kd24相当層準にもわずかに確認できます。横須賀市林五丁目のKd25と推定されるテフラの上位約2mに挟在するローカルテフラとほぼ一致しており、同一の供給源からの噴出物かもしれません。

2022年11月13日
日本地質学会巡検「三浦半島の上総層群中-下部の層序と化学合成化石群集」に参加して横浜市栄区で採取したKd24・25・38・39と横須賀市林四丁目で平塚市博 野崎篤氏が検出された火山ガラス質テフラのテフラ分析を京都フィッション・トラックに依頼した結果が出ました。林五丁目テフラは分析済でした。

林五丁目テフラ、林四丁目テフラのテフラ分析表と偏光顕微鏡写真です。いずれも火山ガラスの主成分・微量成分組成分析結果と同様、Kd25と対比される結果が得られました。




Kd24・25・38・39のテフラ分析表です。Kd39は他の流紋岩質の3テフラより斜長石がCaリッチ(グラフ右側)、直方輝石がMgリッチ寄りで供給源の丹生川火砕流がデイサイト質であることと整合的です。




Kd24・25・38・39の偏光顕微鏡写真です。上段はオープン、下段はクロスで、クロスでは封入剤の屈折率Nd=1.54に近い屈折率の火山ガラスはほとんど見えなくなります。




2022年10月14日
「Kd」は房総半島上総層群黄和田層のテフラに振られている記号で、地層の連続性の高さからテフラ対比(同定の意味)の基準とされています。対比されたテフラは別にローカルなテフラ名が付けられていることが多く、また研究者によって異なる呼称が付けられる事もしばしば有ります。
横浜市栄区のKd24・Kd25・Kd38・Kd39は横浜国立大学間嶋研究室ではそれぞれSKT-12・SKT-11・NOT-12・NOT-1が振られており、藤岡ほか(2003)ではKd24・Kd25・Kd38がSg1・Sg2・Sg3、高橋ほか(2005)ではKd38・Kd39がYH10・YH02、安野ほか(2012・2013)ではKb33・Kb32・On4・On1が振られています。
Kd24・25・38・39はいずれも北アルプス付近に給源の火山が推定されていて・広域テフラ名としてはそれぞれ「白沢天狗-SK100」「大峰-SK110」「恵比寿峠-福田」「穂高-Kd39」という呼称が付けられています。広域テフラ名は給源火山(または付近の地名)-代表的なテフラの組み合わせとすることが多いです。
ちなみに「SK100」「SK110」は新潟県の魚沼層群のテフラ、「福田」は大阪層群のテフラです。Kd25の「大峰」は長野県の大峰高原ですが、今回の火山ガラス主成分・微量成分組成分析で判るようにKd24と極めて類似性が高いため、同一または近隣に給源が有ったと考えられています。
Kd24とKd25は主成分・微量成分組成とも類似性が高いのですが、対比のポイントとしては微量成分元素の中でも含有率の高いBaにKd24は600ppm前後、Kd25は500ppm前後であるという特徴があります。Kd25との対比候補である林四丁目・林五丁目のテフラはいずれも500ppm前後でKd25の特徴と一致しています。
2022年10月13日
日本地質学会巡検「三浦半島の上総層群中-下部の層序と化学合成化石群集」に参加して横浜市栄区で採取したKd24・25・38・39と横須賀市林五丁目および林四丁目で平塚市博 野崎篤氏が検出された火山ガラス質テフラの主成分・微量成分組成分析を古澤地質に依頼した結果が出ました。
林四丁目の林層(上総層群相当層)に挟在するテフラは主成分・微量成分ともKd25と極めて良く一致しました。また林五丁目の三浦縦貫道延伸・ランプ新設工事で露出した上総層群相当層に挟在するテフラは主成分はKd25と非常に良く一致しましたが微量成分組成の複数のランタノイド元素の値に乖離が見られました。



林四丁目と林五丁目のテフラがKd25と対比される場合、林五丁目での測量による走向・傾斜が林四丁目の露頭に連続しないと考えられ、両地点の間に大きな変形構造が想定されます。なお、林五丁目のテフラの微量成分組成についてはKd25の別地域のデータとは一致しましたが、さらに検証を進める予定です。
巡検を企画し非会員にも開放していただいた日本地質学会、巡検を案内していただいた間嶋隆一氏、野崎篤氏ならびに三浦半島北部の上総層群などの調査を積み重ねられた横浜国立大学間嶋研究室の方々に深く感謝いたします。
2021年8月29日
三浦縦貫道 林IC(仮称)西出口ランプの上総層群相当層中に挟在する漂流軽石に含まれる火山ガラスのLA-ICP-MSによる微量元素組成分析でビスマス(Bi)は0.11ppmで地殻存在度による規格化値は1.9058と高濃度を示しました。
ちなみに西出口ランプの上総層群相当層ローカルテフラ群中の安山岩質軽石は0.05ppm(0.9151)と低濃度、宮田層のMIS11相当層と推測される層準に挟在する船久保タフは0.19ppm(3.1536)で漂流軽石よりさらに高濃度でした。流紋岩質の広域テフラの場合このような高濃度を示します。
2021年8月25日
三浦縦貫道 林IC(仮称)西出口ランプの上総層群相当層中に挟在する漂流軽石。円磨は進んでおらず、噴出・降下からまもなく漂着または沈下したものと推測されます。2枚目は産状で、菓子の「おこし」状に固まって断続的に見られます。火山ガラスの微量元素組成分析を行いました。


2021年6月10日
望遠レンズで撮影した露頭写真の縦パノラマ合成(撮影例)。微動付雲台で均等にラップさせます。平面位置と標高は別途測量を行って決定。撮影例ページはウインドウ幅に合わせて表示されます。全体像。

2021年5月14日
今日夕方撮影の手ブレ写真を補正。林IC(仮称)既存西側出口の拡張工事西面露頭は早くも保護工事が完了間近でした。小段の上は種子吹付、下は大型ブロック積擁壁(どっきんくん)。

2021年3月25日
林IC(仮称)既存西側出口の拡張工事で露出した法面露頭の調査を3月25日、箱根ジオミュージアムの笠間友博氏及び山口珠美氏、平塚市博の野崎篤氏が参加して行われ、私も同行させていただきました。法面露頭には上総層群相当と考えられる地層のこれまで露出した層準より下位が見られました。

2020年12月12日
林の工事現場の上総層群相当層(テフラ群含む)と現場の北側に分布する上総層群とされる林層(上総層群相当層)の層位上、変形構造上の関係は不明です。林四丁目の林層(上総層群相当層)の露頭写真です。




2020年12月9日
東側進入ランプ法面露頭下部の上総層群相当層の下位には西側出口ランプの掘削工事で、ほぼ同一年代の結果が出ている粗粒の安山岩質軽石層を中心としたテフラ群が露出し、露頭の西側にはノンテクトニックと推定される断層群が見られました。テフラ群とテフラ群を切る断層の写真です。


現在、東側進入ランプ掘削底面の上総層群相当層の中に黒い円形の断面が多数見られます。これは浅海性のマンガンノジュールで、内部の構成物は外側と同じで、マンガンでコーティングされている状態です。現状では成因不明です。現在の底面写真と2019年4月に撮影した断面拡大と掘り出した側面写真です。



林層(上総層群相当層) 宮田層 下末吉層相当層~黒ボク
宮田層
2022年7月21日
横須賀市林の三浦縦貫道延伸工事で平塚博の野崎篤氏によって上総層群相当層から検出されたテフラと船久保タフの火山ガラス微量元素組成比較。上部地殻組成で規格化したグラフです。希土類元素(ランタノイド)のGd(ガドリニウム)以降の原子番号(右側)の元素で傾向の差が明瞭です。

2022年7月1日
京都フィッショントラックより船久保タフを挟在するC層上部泥岩、C層中部砂岩および下位のB層軽石集中部のU-Pb年代測定結果が出ました。船久保タフの年代を確定するデータは得られませんでしたが、船久保タフ上位に不明瞭な浸食面を挟んで堆積するC層上部泥岩にはMIS13を示唆する粒子が見られました。
C層中部砂岩および下位のB層軽石集中部については若いジルコンを抽出したものの堆積物から予測された通り、上総層群相当層からの再堆積を示唆する年代しか得られませんでした。
船久保タフについては京都フィッショントラックによりFT年代測定の内、U濃度がより適正な機器で再測定されましたが、0.45±0.08(1σ)Maと大きな変化はありませんでした。
この結果を受けてオーバーエッチングによるトラック数の変化の検証を提案しましたが、ジルコン粒子表面のエッチングによる脱落等の問題があり、技術的にアンダーエッチング状態でも数え落としはないと判断されるとの回答をいただきました。
2022年6月15日
U-Pb年代を火山砕屑物に適用する場合に問題となる閉鎖温度の高さとマグマ溜りのレジデンスタイムの関連については、以前言われていたより短い数千年~数万年というのが最近の考え方で、船久保タフのFT年代約0.4MaとU-Pb年代約0.6Maの差約0.2Myrsについても約0.6MaのSe-Tgテフラに対比される可能性が高く、FT年代の再検証が必要と考えています。
火山砕屑物のFT年代とU-Pb年代の差はマグマ溜り内での閉鎖温度の違いによる差だけでなく、火山砕屑物として火山体付近に堆積していたものが噴火によって再放出される要素も大きいのではと考えています。噴火で噴出したジルコンの中に自形でないものが含まれるのはそれを示唆している可能性がありますが、Timescale of magma chamber processes revealed by U–Pb ages, trace element contents and morphology of zircons from the Ishizuchi caldera, Southwest Japan Arc/Mami Takehara, Kenji Horie, Kenichiro Tani, Takeyoshi Yoshida, Tomokazu Hokada, Shoichi Kiyokawa(2017)によると、火成岩中に含まれる丸みのある形状になったジルコンは、zircon antecrystが晶出後、ジルコンに枯渇したマグマにより部分溶融したことを示唆すると書かれていますので、マグマ中でも自形を失う作用もあるようです。
2022年6月13日
京都フィッション・トラックによると、船久保タフと下位の斑晶鉱物濃集部に含まれるPl、Opx、Hbは別起源の可能性があると考えるべきとのことです。船久保の上総層群相当層のテフラでもOpx、Hbの屈折率が一致していてもPlの屈折率が異なるものが見られます。
2022年6月12日
未実施だった船久保タフ・船久保タフ下位の斑晶鉱物濃集部Pl屈折率の測定結果(京都フィッション・トラックによる)が出ました。船久保タフのPl屈折率がかなりNa-rich寄りに出ました。Opx、Hbが下位からのコンタミだったとしてなぜPlはほとんどコンタミしなかったのか解釈が難しくなりました。また、船久保タフのPlが本質物質だったとするとK-Ar法年代がなぜ約2.0Maに出たのかの解釈も難しくなります。

2022年6月11日
三浦縦貫道林の東側入口ランプ宮田層D層泥岩部に白尾(びゃくび)テフラ(Byk-E)がクリプトテフラとして含まれる可能性があることからテフラ分析(京都フィッション・トラックによる)を試みましたが、火山ガラスは極微量で、斑晶鉱物も砕屑性が強くテフラ源を区別するのが困難な結果となりました。
宮田層D層泥岩部前処理後の薄片顕微鏡写真(京都フィッション・トラックによる)です。京都フィッション・トラックによると、芯のある半透明の円筒状のものは海綿骨針の化石とのことです(赤矢印)。

2022年4月28日
三浦縦貫道林の東側入口ランプ掘削工事で露出した礫岩・泥岩互層の宮田層D層(船久保タフを挟在する宮田層C層の下位層)泥岩部を対象にU-Pb年代測定を試み(京都フィッション・トラックによる)白尾(びゃくび)テフラ(Byk-E)をクリプトテフラとして含む可能性のある結果が得られました。採取露頭写真です。

宮田層C層は船久保タフのFT年代の約0.4MaからMIS11相当層、宮田層D層はMIS12相当層と推定していましたが、宮田層D層はMIS19相当層でM-B境界を内包する可能性があり上位の宮田層C層は船久保タフのU-Pb年代の約0.6Ma頃に堆積したMIS15相当層の可能性が否定できなくなりました。
船久保タフについては火山ガラスの微量元素組成が類似する既知の広域テフラ(年代を問わず)との比較で船久保タフのU-Pb年代約0.6Maと噴出年代が一致する誓願寺-栂テフラ(Se-Tg)とユークリッド距離が最も近いという結果(京都フィッション・トラックによる)が得れています。

船久保タフの噴出年代がU-Pb年代の約0.6Maだとして、FT年代が誤差を2σ考慮しても収まらない若い年代になった原因は粒子径の小さいものにゼロトラック粒子が多く過小に算出された可能性を考え(その2)報告書のFT年代測定対象88粒子について検証してみました。
その結果、ゼロトラック率はカウントエリア面積による大きな変化は無く平均面積25×10^-6cm2あたりから漸減して平均年代(面積^2×UICP濃度を重みにした加重平均)も漸増、38×10^-6cm2以上の6粒子で変化があり0.61Maになりました。

2021年8月6日
三浦縦貫道の林-高円坊区間延伸及び林IC(仮称)の道路築造工事に伴う掘削で上総層群相当層を切る多くの埋没谷が露出しました。谷の形成期は複数時期が推定され、特に宮田層のMIS11と推定される層準に約15m埋積されている埋没谷が目立ちます。西出口ランプの例です。

林IC(仮称)東入口ランプ北端付近では東西方向の谷の南壁が崩落しており、当初は下末吉層相当層からHk-CC1までが変形していると見ましたが掘削が進捗してより下位から変形しており、最終的に最下位の宮田層で発生した円弧すべりが原因の可能性が高くなりました。施工順に3枚写真をアップします。



宮田層のすべりの発生時期は北側の身洗川の谷の形成が進んだ時期(Hk-CC1堆積期より後)で、未固結の埋没谷堆積物が広く露出し、地震や大雨などが原因で発生したと考えられます。2枚目の写真の明るい色の層(MIS9相当と推定)には流動した跡と考えられるラミナの変形が見られます。
三浦縦貫道の林-高円坊区間延伸及び林IC(仮称)の道路築造工事に伴う掘削で露出した複数の形成期が推定される埋没谷には、近接した位置に重複しているところが2箇所見られました。これは新たな谷の下刻が固結度の低いところで進みやすいことから起きると推測されます。
作業仮説の段階ですが、三浦半島南部の宮田層が分布する宮田(みやだ)台地を刻む谷の多くが上総層群相当層を切って宮田層が堆積した埋没谷が原型となっている可能性を考えています。
参考:MIS曲線(LR04BenthicStack)
2021年6月23日
東側入口ランプ東法面北端部の埋没谷南(右)側谷壁の崩落は6月23日の調査で谷埋め最下位の宮田層の円弧すべりに伴うものの可能性が高い事が判りました。移動体のフロントは北(左)側の変動を受けていない部分にすべり面を介して乗り上げています。

2021年5月11日
三浦縦貫道林IC(仮称)東側入口ランプ法面の宮田層C層下部から産出した材化石の姿写真と表面・断面の顕微鏡写真。依頼していた樹種鑑定の結果が出ました。次の論文で記載する予定です。写真は依頼用に塩井が撮影したものです。


2021年3月7日
横須賀市林の三浦縦貫道延伸工事により2017年に露出した宮田層に挟在する白色で細粒の火山ガラスに富むテフラを船久保タフ(船久保は採取地の住居表示前の字名で遺跡の名称になっています)と命名し、2018年には京都フィッション・トラックにより2回のFT・U-Pbダブル年代測定が行われました。
船久保タフについては笠間・塩井(2019), 神奈川県立博物館研究報告(自然科学) 48 p.1-12. 三浦半島第四系宮田層中の不整合と挟在する”船久保タフ(Fn)”のFt,U-Pb,K-Ar年代.で報告しました。※表2のFT年代下段の0.42の誤差±0.14は誤記で正しくは±0.08

船久保タフのFT・U-Pbダブル年代測定結果の1回目はFT年代0.38±0.14Ma(30粒子)・U-Pb年代0.67±0.01Ma(コンコーダント最若粒子集団6粒子加重平均)※誤差はFT年代が1σ、U-Pb年代が2σ
船久保タフのFT・U-Pbダブル年代測定結果の2回目はFT年代0.42±0.08Ma(100粒子中U-Pb年代測定で普通鉛汚染があり年代が大きく異なる12粒子を除いた88粒子)・U-Pb年代0.63±0.01Ma(コンコーダント最若粒子集団4粒子加重平均)でした。
船久保タフのFT・U-Pbダブル年代測定はLA-ICP-MS装置によって行われ、FT年代にはゼータ較正を適用、U-Pb年代は若い試料で精度の高い238U-206Pb法によりU-Th-Pb非平衡補正が適用されています。船久保タフ年代測定結果報告書(その2) 2018年7月14日(株)京都フィッション・トラック
船久保タフの年代測定を2回行った理由は、1回目の年代測定で中期更新世の若いジルコンで粒径も微細なためFT年代測定でゼロトラック粒子が多く標準30粒子では不足なことが判明したためです。2回目では100粒子に増やして測定を行いましたが、1回目の測定結果は2回目の測定誤差範囲内に収まっていました。
船久保タフは蒜山地質年代学研究所によるK-Ar年代測定も行われました。対象としたのは斜長石で同時に船久保タフの下位の斑晶鉱物濃集部についても角閃石を対象に測定が行われ、船久保タフが2.17±0.12Ma、斑晶鉱物濃集部が1.93±0.21で、いずれもより古い地層からの外来斑晶と考えられます。
京都フィッション・トラックによるテフラ分析で船久保タフと斑晶鉱物濃集部は角閃石及び直方輝石の屈折率の分布が一致しており、船久保タフに含まれるこれらの斑晶鉱物がジルコンや火山ガラスの粒径と比較して大きい事も外来斑晶であることを示唆しています。角閃石及び直方輝石の顕微鏡写真です。

笠間・塩井(2019)の論文中では「本質物質の斑晶鉱物に、数百万年前の三浦層群由来の外来斑晶が一定割合混合している結果の可能性が高い」と書きましたが、その後2Ma前後の年代測定結果が出た上総層群相当層のテフラ群が近接して存在することが判り、こちらからの外来斑晶と考えられます。
ところで、FT年代とU-Pb年代の差はテフラのジルコンの場合、FT年代の測定対象238Uの自発核分裂飛跡が約240°Cで消失することから噴火の過熱によるリセット時が基準になり、U-Pb年代の測定対象の放射性元素崩壊がリセットするのは700~900°C以上で結晶晶出時が基準になるとされています。
このような年代の基準となる対象がリセットされる温度を閉鎖温度と言います。U-Pb年代は晶出後のマグマ溜りの中での環境に依存すると考えられ、低温のマグマ(例えばマッシュ状珪長質マグマ)ならばその滞留期間にはリセットされないと考えられます。
ジルコンのマグマ溜りでの滞留期間に関連する例として、雲仙普賢岳での1991年噴出で噴出した火山弾中のジルコンU-Pb年代が約90kaであった報告があります。
Ion microprobe U–Pb dating of Quaternary zircon: implication for magma cooling and residence time /Yuji Sano, Yukiyasu Tsutsumi, Kentaro Terada, Ichiro Kaneoka
また、約95kaに噴出したとされる鬼界葛原テフラのU-Pb年代分布に約70万年前の安房テフラ(Anbo)や約60万年前の鬼界葛原テフラ(K-Tz)の年代を示すジルコンが含まれていた報告も注目されます。
ジルコンのU-Pb年代から見えてきた鬼界カルデラの形成史/伊藤久敏(2016)
では船久保タフのFT年代約0.4MaとU-Pb年代約0.6Maの約0.2Maの差はありうる範囲かの問題ですが、石鎚カルデラ番匠谷流紋岩中の早期晶出ジルコンが約60万年間マグマ溜りに滞留していたことが示されている例があり、可能性は否定できないと考えられます。
Timescale of magma chamber processes revealed by U–Pb ages, trace element contents and morphology of zircons from the Ishizuchi caldera, Southwest Japan Arc/Mami Takehara, Kenji Horie, Kenichiro Tani, Takeyoshi Yoshida, Tomokazu Hokada, Shoichi Kiyokawa(2017)
紹介ページ 国立極地研究所 トピックス 2018年8月28
2021年2月11日
宮田層C層の堆積年代を挟在する船久保タフのFT年代約0.4Maとしているのに、あらためて年代測定を行う理由はテフラ対比問題があるためです。船久保タフは火山ガラスの微量元素組成分析結果の希土類パターンとBa量が大分県由布市付近が給源の誓願寺-栂テフラ、由布川火砕流と強い類似性があります。
そこで、宮田層C層に含まれる若いジルコンがどのような分布をしているのかによって堆積年代がFT年代の約0.4MaかU-Pb年代の約0.6Maかを推定する事が狙いでした。
しかし、船久保タフの2回のFT年代測定(11回目30粒子、2回目100粒子)結果はいずれも約0.4Maで良く一致しており、特に2回目でU-Pb年代が大きく異なる12粒子を除いた88粒子で決定した0.42±0.08Maはこの年代としては信頼性が高く無視できない測定結果です。
2021年2月10日
三浦縦貫道林の東側入口ランプ掘削工事で露出した宮田層C層及び上位のMIS9相当層の可能性のある層について砕屑性の軽石を含む部分を対象にU-Pb年代測定を試みました(京都フィッション・トラックによる)。宮田層C層は笠間・塩井(2019)で挟在する船久保タフのFT年代の約0.4MaからMIS11相当層としました。
MIS11のピークは0.42Ma、MIS9のピークは0.34Maとされています。測定結果は推定年代に近い(+0.1Ma程度より若い)ジルコンはどちらの試料からも検出されず、宮田層C層の試料の最若粒子は1.17Ma±0.11Ma、MIS9相当層の可能性のある層の試料の最若粒子は0.72±0.07Maでした(238U-206Pb年代)。
それぞれの測定全粒子のU-Pb年代値リストです。船久保東ランプ(1)が宮田層C層、船久保東ランプ(2)がMIS9相当層の可能性のある層です。(1)は1.17Ma~2.08Ma(5/10粒子)と3.59Ma~6.55Ma(5/10粒子)、(2)は0.72Ma~1.72Ma(6/12粒子)と4.82Ma~7.78Ma(6/12粒子)の2グループに分けられます。


それぞれ、上総層群相当層と三浦層群からの砕屑性ジルコンであることが推測されます。(1)と(2)の抽出ジルコンのマウント画像です。抽出時には色調と磨耗度で、マウント後の測定前には自発FT密度の高いものが古い粒子(おおよそ中新世以前)として棄却されています。画像には「古」と注記されています。
今回のU-Pb年代測定結果からは宮田層C層及び上位のMIS9相当層の可能性のある層の堆積年代を推定することはできませんでした。同様に本質物質はほとんど含んでいないと考えられる宮田層B層のU-Pb年代測定結果からの「上総層群相当層のA層と同一」という推測にも疑問が生じます。


2021年2月7日
東側入口ランプ東法面北端部の埋没谷の最下位の宮田層(C層)を切込んだ谷の下部を埋積しているMIS9相当層の可能性のある砂層には攪乱されたラミナが見られます。粒度が均等で粒度分布が悪いため堆積後に流動化が発生した可能性が考えられます。


2021年1月15日
1月14日は笠間友博氏の呼びかけで横須賀市博の柴田健一郎氏、神奈川県立地球博の西澤文勝氏、平塚市博の野崎篤氏が参加し、林IC(仮称)の工事現場露頭の調査が行われ、私も同行させていただきました。この写真では上総層群相当の年代測定結果が出ている地層のクロスラミナが明瞭に判ります。

2021年1月2日
三浦縦貫道林IC(仮称)の2017年~2018年の掘削工事では東面に宮田層と下末吉層相当層の間にそれぞれと不整合で接するMIS9相当層と考えられる層準が見られました。MIS9相当層?の底面には波浪の影響と推測されるソールマークが発達しています。1・2枚目が2017年、3・4枚目が2018年工事の法面露頭です。
4枚目の下末吉層相当層基底にはテフラが挟在し、浸食面に発達する生痕を埋めています。




2020年12月30日
三浦縦貫道林IC(仮称)の工事現場では2017年~2019年の掘削工事で、形成年代の異なる埋没谷の重複が2箇所で見られました。2020年の掘削工事で現在見えている東側入口ランプ東側法面北端部で3箇所目の埋没谷の重複が見られます。埋没谷の少なくとも3回の形成履歴を記録しており、谷右側には下末吉層相当層からHk-CC1までが谷壁斜面が崩落した堆積物で、円弧状のノンテクトニック断層が発達しています。この付近では三崎砂礫層が尖滅(認識できない状態)している事が判ります。なお、上総層群相当層下部の暗灰色の層は砂鉄層です。

現在見えている東法面の中央の、この写真の埋没谷はHk-TP堆積直後と推測される1回のみの履歴しか見えません。他の形成年代の異なる埋没谷が重複する3箇所はいずれも宮田層堆積前に上総層群相当層を切った谷が最初です。

形成年代の異なる埋没谷の重複の原因として当初は断層による差別侵食ではないかと考えましたが、谷底の下には断層は見られませんでした。現在は、より若く固結度の低い堆積物が選択的に侵食されたためではないかと考えています。
2020年12月12日
林の工事現場に露出する宮田層は上部の砂質~シルト質層(論文中のC層)と下部の礫・泥互層(論文中のD層)の2層準が露出しました。上部層が上総層群相当層のテフラ群を切って堆積している状況、上部層(左側)が下部層を切って堆積している状況、下部層の礫が円磨(扁平礫多し)されている状況の写真です。


林の工事現場に露出する宮田層の上部からは密度は少ないものの、合弁のオオノガイ(特に割合が多い)やカキを産出します。オオノガイを3枚とカキの写真です。宮田層の上部は還元色を呈しています。




2020年12月11日
論文中で南露頭としている露頭の法面整形完了時の写真です。2018年時点では、ここで上総層群上部相当層?とした層と現在の東側進入ランプ法面下部の上総層群相当層が連続していると推定していましたが、実際は不整合を挟んだ下の層と連続していました。

2020年12月9日
現在掘削工事が行われている東側進入ランプの法面露頭に調査結果を注記した画像です。埋没谷はHk-TPが谷壁上部から侵食を受けているため、Hk-TP堆積直後に形成されたと推測されます。
写真の東側進入ランプ法面露頭下部の上総層群相当層は2018年調査時点では年代測定しておらず、宮田層相当層と推定していました(下記URL報告のB層※現在はA層と連続と判明)。

林層(上総層群相当層) 宮田層 下末吉層相当層~黒ボク
下末吉層相当層~黒ボク
2023年1月20日
宮田層までを切込み立川ローム層及び顕著な黒ボク土層で埋積されている埋没谷(2017.9.24/横須賀市林五丁目)

黒ボク土層について
黒ボク土の成因に関する新しい説(山野井徹)
黒ボク土層の生成史:人為生態系の観点からの試論(細野衛・佐瀬隆/2015)
2021年2月7日
三浦縦貫道林の東側入口ランプ東法面中央の埋没谷の谷底が露出しました。上総層群相当層を僅かに切り込んでいて下部はガリー状の断面形状です。Hk-TPと下位の風化帯は谷壁の崩落に伴って移動した形跡が見られます。



2020年12月15日
小原台砂礫層と下末吉層相当層は2018年時点では全体を小原台砂礫層としていましたが、当初から2層の礫集中層が見られる事には気づいていて、これがそれぞれの基底礫層でした。いずれも緩く南東に傾斜していますが、傾斜角は下末吉層相当層の方がわずかに大きく傾斜不整合が見られる場合があります。
三崎砂礫層と小原台砂礫層の境界は海道向では侵食面が明瞭で生痕も見られますが、林では境界が不明瞭で写真で水中堆積軽石層?とした層準の上面にわずかに起伏があり、水中堆積軽石層?とした層準が現場内で尖滅していることからこの層準の上面からTP下のクラック帯下との間を三崎砂礫層としています。


2020年12月12日
海道向の工事現場の切通し南側掘削中に還元色の青灰色を呈すHk-TPが広く底面に露出しました。この写真では底面の青灰色部に蛇行するように赤褐色の部分が見られます。これが何を示しているのかは理解できていません。3枚目は切通し北側掘削中の法面露頭の青灰色を呈すHk-TPの拡大です。



海道向の工事現場の切通し北側掘削中には法面露頭にHk-TP下のクラック帯下部が還元色の青灰色を呈す部分が見られ、そこに炭化物が多量に含まれていました。新鮮な断面での写真を2枚。3枚目は底面の三崎砂礫層で葉山層群の泥岩と考えられる礫が指ですりつぶせるほど風化したくさり礫になっています。



2020年12月11日
林の工事現場から南に谷を挟んだ三浦市初声町大字和田字海道向の切通し掘削工事では法面露頭に連続して三崎砂礫層、小原台砂礫層、下末吉層相当層が露出し、それぞれの境界の浸食面に巣穴生痕が見られました。特徴が異なっており、違う生物(大きさの異なる多毛類かもしれません)の巣穴と推測されます。



2020年12月11日
林の三浦縦貫道切通し掘削工事前には台地上に旧石器時代、縄文時代、近世以降の複合遺跡である船久保遺跡の発掘調査が行われていました。神奈川県サイトに報告書がありましたが現在は削除されています。
旧石器人の「謎の穴」から見えるのは?(サイカルjournal/NHK2018.06.15)」
